![]() |
|||
| HSG |
|
Herleitung der Formel
Lichtweg:
, wobei
=15,72m (1)
(
= Drehspiegel - Linse - Umkehrspiegel - Endspiegel)
Berechnung der dafür benötigten Zeit
r = Entfernung Drehspiegel - Mattscheibe = 5,00 m
(Umlenkung durch Glasplatte spielt keine Rolle)
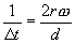
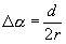
Bewegt sich der Bildpunkt um d = 0,0035 m, so wird vom reflektierten Strahl ein Winkel von
(2).
(3)
(2) in (3):
daraus folgt
(4)
Lichtgeschwindigkeit:
(1), (4) Þ
